数学技巧
目录
快速幂
根据幂运算的定义可以知道,如果要求 x 的 N 次幂,那么暴力方法就是用一个 N 次的循环,然后累乘得到结果,时间复杂度为o(N)。快速幂算法可以将复杂度降为O(logN)。
二进制拆分
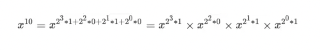
以N = 10为具体场景,10写成二进制表示为1010(BIN),那么求x的10次幂,就可以写成如下式子:

对上面的最后结果按从低位到高位交换位置如下:

在不考虑幂指数的*0和*1,只看前半部分,会有规律:左式每次是要乘以自身,就是下一项的左式。我们的例子中有:

编程思路为:从x开始维护一个左式,每一次迭代都执行x *= x,然后每次遇到右边是*1的情况,就记录以下res *= x,这样就模拟出了二进制拆分的计算思路。
编程实现
先简单实现计算出2的10次方这个例子,代码如下:

将n,x做成参数,编写一个快速幂方法,代码如下:
func qPow(x, n int) int {
res := 1
for n != 0 {
if n & 1 == 1 {
res *= x
}
x *= x
n >>= 1
}
return res
}
复杂度
不妨设求x的N次方,并且令N的所有二进制位都是1,就有如下等式:

则k就是计算机需要计算的次数,可以反推出k的大小:

超级次方

题目要求返回幂运算a^b的计算结果与1337取模后的结果。有三个难点:
- 如何处理用数组表示的指数?
b是一个数组,即b可能非常大,没办法直接转换为整型。
- 如何得到求模之后的结果?
一般是先把幂运算结果算出来,再取模,但幂运算结果非常大,会溢出报错。
- 如何高效进行幂运算?
即采用快速幂算法,解决这个难点。
处理数组指数
不考虑求模要求,以b = [1,5,6,4]为例,结合指数运算法则,有以下规律:

即可以采用递归实现。
处理mod运算
由于计算机编码方式,形如(a * b) % mod这样的运算,乘法结果可能会溢出,防止溢出的技巧为:
(a*b)%k = (a%k)*(b%k) % k即对乘法结果求模,等价于先对每个因子都求模,然后对因子相乘的结果再求模。
代码如下:
const mod int = 1337
func superPow(a int, b []int) int {
// 快速幂+递归
if len(b) == 0 {
return 1
}
last := b[len(b) - 1]
b = b[: len(b) - 1]
result := pow(a, last) * pow(superPow(a, b), 10)
return result % mod
}
// 返回x的n次方求模
func pow(x, n int) int {
res := 1
for n != 0 {
if n & 1 == 1 {
res *= x % mod
}
x *= x % mod
n >>= 1
}
return res % mod
}
NarcissusBlog